缩聚反应是带有两个或两个以上官能团的低分子物质相互作用,并问时产生小分子(如H2O、HCl、CH3OH.NH3等)的过程,故生成高聚物的组成和原料物质不同。随着所采用的单体不同,缩聚反应得到的产物结构也会不同。当所用单体仅有两个官能团时,大分子向两个方向增长,得到的高聚物为线型分子——在溶剂中可溶,受热后可熔。例如,由己二酸和己二胺合成聚酰胺-66,因为己二酸分子二端都有羧基(—COOH),己二胺分子的两端都有氨基(—NH2),当羧基与氨基起缩合反应时,就能生成酰胺键,同时分离出水:
.jpg)
所生成的中间产物的两端仍有二个官能团,还可以继续与己二酸或己二胺起缩合反应,如此继续下去,以逐步形成线型结构高聚物。然而,引起我们特别注意的是:这里有水产生,如不及时排除,会使中间产物水解,使反应向相反方向进行。故一般线型的缩聚反应,总不象加聚反应那样是个连锁反应,而是一个可逆平衡反应。特别到了反应的后期,生成聚合物的分子量越来越高,反应体系粘度也越来越大,即使在高度真空下,也难于把产生的水排除完全。因此,缩聚物的平均分子量要比加聚的小得多,而且多分散性更大。
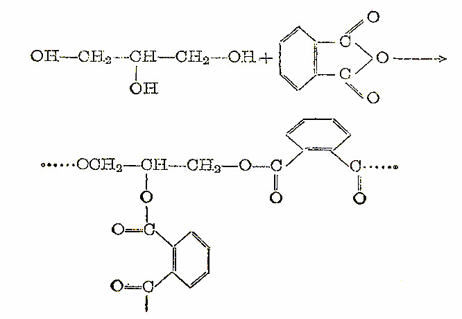
这是单体含两个官能团的情况,假若所用单体含有两个以上官能团时,大分子向三个方向增长,得到的高聚物是网状或体型结构——不溶也不熔。例如广泛用于涂料工业上的醇酸树脂,它是由三元醇(甘油)和二元酸酐(邻苯二甲酸酐)经编聚反应生成的聚酯。甘油有三个羟基(—OH),因此可在三个方向同时发生缩合反应:
.jpg)
又如酚醛树脂、苯酚和甲醛虽然都没有三个官能团,但是苯酚由于酚羟基的作用,使苯酚上有三个位置(即羟基的二个部位和一个对位)变得特别活泼,容易发生反应。
当酚与醛的克分子比>1(即苯酚过量时),在酸性催化剂的作用下,先生成邻-羟甲基苯酚和对-羟甲基苯酚,然后进一步缩聚得线型的酚醛树脂:
.jpg)
在这种线型结构中不含羟甲基(—CH2OH),故本身不能进行缩聚,也不能形成体型结构。但如加入过量甲醛或碱性催化剂六次甲基四胺后,就能转变为体型或网状结构。如甲醛过量时,会生成多元羟甲基苯酚:
.jpg)
当这些产物相互缩合,或和上面线型结构继进行缩聚后,就形成体型树脂:
.jpg)
生产上为了制得一定形状的酚醛制品,常常使这个体型化的反应在压模中进行。预先按照酚多醛少的配比制得线型酚醛树脂,然后再与填料、颜料、碱性催化剂(如六次甲基四胺)等加热辊压,以制得酚醛压塑粉,最后在140~200℃加压下进行模压,使其一面成型,一面固化成体型结构;或以可溶性的线型树脂浸渍填料,然后经干燥后加热加压固化,即可制得各种形状的酚醛制品,如图5-2所示。
.jpg)