3.聚合反应
.jpg)
|
物质划分 |
分子量 |
碳原子数 |
分子长度/nm |
|
甲烷 |
16 |
1 |
0.125 |
|
低分子 |
<1000 |
1~10的平方2 |
0.1~10 |
|
过渡区 |
10平方3~10平方4 |
10平方2~10平方4 |
10~100 |
|
高分子 |
10平方4~10平方6 |
10平方3~10平方5 |
100~ 10000 |
聚合物强度随聚合度的增大大而增加,如图1-2示。A点是初具强度的最低聚合度。非极性和极性聚合物的A点最低聚合度不同,如强氢键的聚醇 酰胺约40,纤维素60, 而低极性的乙烯基聚合物则 在100以上,其分子量业当以数千计。
.jpg)
A点以上聚合物的强度随聚合度的增大而迅速增加,到临界点B后,强度变化趋缓,C点后,强度增加更缓。关于B点聚合度聚酰胺约150, 纤维素250
乙烯基聚合物则在400以上。
常用缩聚物的聚合度为100~200, 强度变化趋缓。,而烯类加聚物 物则在500~ 1000.以上,相当于分子量2万~30万天然橡胶和纤维素超过此值。
常见聚合物的分子量表1-4。
1.4.1平均分子量
乙醇、苯等低分子具有固同定分子量,但聚合物往往由分子量不等的同系物混合而成分子量存在一定的分布,通常所说的 , 聚合物往往由分子量
是指平均分子量,不等的同系物混合而成,平均分子量有多种表示法,最常用的是数均分子量和重分子量。
表1-4 常见聚合物分子量
|
塑料 |
分子量/万 |
纤维 |
分子量/万 |
橡胶 |
分子量/万 |
|
高密度聚乙烯聚氯乙烯 |
6~30 |
涤纶 |
1.8~2.3 |
天然橡胶 |
20~40 |
|
聚氯乙烯 |
5~15 |
尼龙-66 |
1.2~1.8 |
丁苯橡胶 |
15~ 20 |
|
聚苯乙烯 |
10~30 |
维尼纶 |
6~7.5 |
顺丁橡胶 |
25~ 30 |
|
聚碳酸酯 |
2~6 |
纤维素 |
50~100 |
氯丁橡胶 |
10~12 |
(1)数均分子量Mn
通常由渗透压、蒸气压等依数性方法测定,其定义是某体系的总质量m被分子总数n所平均。

低分子量部分对数均分子量有较大的贡献。
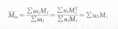
(2)重均分子量Mw
又称质均分子量,通常由光散射法测定,其定义为:
.jpg)
高分子量部分对重均分子量有较大的贡献。
以上两式中,n;、m;、M;分别代表i一聚体的分子数、质量和分子量。对所有大小的分子,即从i=1到i=∞作加和。
凝胶渗透色谱可以同时测得数均分子量和重均分子量。
(3)粘均分子量M。
聚合物分子量经常用粘度法来测定,因此有粘均分子量。
.jpg)
式中,a是高分子稀溶液特性粘数-分子量关系式[门= KMa中的指数,一般为 0.5~0. 9。
以上三种分子量的大小依次为: Mw>M,>Mn。作深人研究时,还会出现Z均分子量。
1.4.2 分子量分布
合成聚合物总存在一定的分 子量分布,常称作多分散性。分子量分布有两种表示方法:
(1)分子量分布指数
其定义为Mw/Mn的比值,可用来表征分布宽度。对于分子量均一体系,Mw=Mn,即Mw/Mn=1。合成聚合物的分子量分布指数可在1.5~2.0至20~50之间,随合成方法而定。该比值愈大,则分布愈宽,分子量愈不均一。
(2)分子量分布曲线
如图1-3所示,横坐标上注有Mn、Mn、Mw,依次增大。

平均分子量相同,其分布可能不同,因为同分子量部分所占的百分比不一定相等。
分子量分布也是影响聚合物性能的重要因素。低分子量部分将使聚合物固化温度和强度降低,分子量过高又使塑化成型困难。不同高分子材料应有合适的分子量分布,合成纤维的分子量分布宜窄,而合成橡胶的分子量分布不妨较宽。
分子量和分子量分布是高分子合成的重要研究内容。