Bd020破乳剂TA1031
.jpg)
.jpg)
| 指标名称 | 指标 |
|
含量/% |
≥65 |
| 凝固点/℃ | 16~23 |
| 羟值/(mg KOH/g) | 45 |
[主要用途]用在油田原油脱水,炼油厂脱盐方面。
Bd021破乳剂WT-40
[英文名] demulsifier WT-40
[组成] AR型破乳剂与破乳剂J-50复配而成。
[性状]本品为浅黄色黏稠液体。相对密度(25℃) 0. 93~0.95。倾点一35°C。
[制法]将AR型破乳剂加人混配釜中,按一定比例加入甲醇在搅拌下加热溶解, 然后加入一定量的J-50破乳剂,快速搅拌均匀即可。
[产品规格]
| 指标名称 | 指标 |
| 羟值/(mg KOH/g) | ≤80 |
| 黏度/mPa·s | 7~12 |
| 闪点/℃ | 40~50 |
| pH值 | 9~11 |
Bd022破乳剂酚醛3111
[英文名]demulsifier phenolaldehyde 311
[别名]酚醛树脂聚氧乙烯聚氧丙烯醚
[性状]本品为淡黄色黏稠液,相对密度 (25°C) 0. 9~1. 05,溶于水或油。
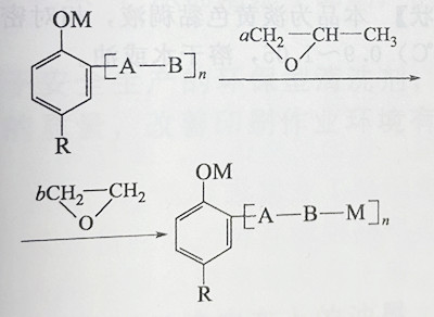
[制法] 在高压釜中制备酚醛树脂聚氧乙烯聚氧丙烯醚后,加入35%的溶剂稀释得产品详见破乳剂AF系列。
[产品规格]
| 指标名称 | 指标 |
| 含量/% | 65±2 |
| 羟值(干基)/(mg KOH/g) | ≤50 |
| 色度/号 | ≤300 |
| 凝固点/℃ | 20~40 |
[主要用途]用于原油的破乳脱水,对地温高的原油有特效,亦可作油厂的原油脱水。