先河原料科技-999化工商城欢迎您 化学试剂销售咨询:0598-7509639,或加QQ339904316 微信咨询:w999gou | 请登录  |  免费注册

相关商品

双硫腙


MSDS安全员 / 2020-09-13

 双硫腙

双硫腙MSDS化学品安全技术说明书
第一部分 化学品及企业标识
化学品中文名:双硫腙;二苯基硫卡巴腙;加打萨宗
化学品英文名:dithizone;diphenylthiocarbazone
化学性质:双硫腙分子式C13H12N4S分子量256.33为黑色、紫黑色结晶性粉末。易被空气氧化,通常加入二氧化硫水溶液保护。易溶于四氯化碳和氯仿,其溶液不稳定,微溶于乙醇,不溶于水。熔点 168℃(dec.);有毒化学品。
化学用途:双硫腙用作铅的灵敏试剂,并用作测定钴、铜、汞、锌和银等;络合指示剂。典型的比色试剂是二苯基硫卡巴腙通常叫做双硫腙,是艾米尔·费歇尔在1882年发现的,他观察到双硫腙很容易和金属离子形成有色化合物,但他没有继续这项研究。1926年,海尔穆特·费歇尔研究了这个化合物,并报道了把它用于分析的可能性,这种可能性在30年代得到了最充分的利用。
生产方法:1.苯肼二硫代甲酸苯肼盐的制备。将13g苯肼溶于60ml乙醚中,滴加5.2ml二硫化碳。将生成的白色沉淀滤出,用乙醚洗涤,得约15g。2.二苯二氨基硫脲的制备。将上述生成物置于烧杯中,在96-98℃的水浴上加热,物料熔融后放出硫化氢而转为淡黄以的胶状物。若有氨气放出,则移出热浴,用水冷却。再用冰冷却。再用冰冷却,加入15ml水无水乙醇,自冰浴中取出,搅拌下稍热,这时胶状物变成结晶状产物,抽滤,用乙醇洗涤,得约7.5g。3.双硫腙的制备。将上述所得二苯二氨基硫脲加到苛性钾溶液(6g氢氧化钾溶于60ml无水甲醇)中,在沸水浴上回流5min,取出在冰浴中冷却。过滤,滤液用硫酸酸化至刚果红试纸变色,析出深蓝色沉淀。抽滤,将沉淀物再用苛性钾溶液、硫酸处理一遍,抽滤后用水洗至无硫酸根存在。在40℃烘干,得双硫腙约3g。
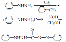
2.将苯肼与甲苯的混合物冷却至0℃以下,在搅拌下加入二硫化碳,并控制加入速度使反应温度维持在60~70℃,放置10min以上,再加热升温至90~95℃,结晶溶解并开始反应。当析出大量结晶并使醋酸铅试剂呈微棕色时,反应结束,冷却后过滤,结晶依次用冷甲苯和乙醇洗涤,所得白色结晶即
  为二苯基硫代卡巴肼。然后,将二苯基卡巴肼加到氢氧化钾的甲醇溶液中,加热回流5~10min,冰水冷却至30℃左右,滤去不溶物,边搅拌边向滤液中加入0.5mol/L的硫酸水溶液至溶液对刚
  果红试纸恰呈酸性,过滤所得结晶先用冷水洗涤,再溶5%的氢氧化钠溶液,滤去不溶物,滤液用冰水冷却,同时用冷的0.5mol/L的硫酸酸化至刚果红试纸恰呈酸性,沉淀完全后过滤,滤出的结晶用冰水充分洗涤至SO4 离子合格,抽干后于40℃干燥,即得成品二苯基硫代卡巴腙。过程反应为:
化学反应
企业名称:西陇化工股份有限公司
生产企业地址:广东省汕头市潮汕路西陇中街1-3号
邮 编: 515064 传 真: 0754-82481768
企业应急电话:400-7788689
电子邮件地址:339904316@qq.com
网站地址:https://www.999gou.cn/
技术说明书编码: 
第二部分 成分/组成信息
√ 纯品            混合物
有害物成分 浓度 CAS No.
双硫腙 60-10-6
第三部分 危险性概述
危险性类别:
侵入途径:吸入、食入、经皮吸收
健康危害:双硫腙对眼睛有刺激作用。大量口服引起胃肠不适。遇热分解释出高毒的氮氧化物和氧化硫。
环境危害:双硫腙对环境有害。
燃爆危险:可燃,其粉体与空气混合,能形成爆炸性混合物。
第四部分 急救措施
皮肤接触:脱去污染的衣着,用流动清水冲洗。如有不适感,就医。
眼睛接触:提起眼睑,用流动清水或生理盐水冲洗。如有不适感,就医。
吸  入:迅速脱离现场至空气新鲜处。保持呼吸道通畅。如呼吸困难,给输氧。呼吸、心跳停止,立即进行心肺复苏术。就医。
食  入:饮足量温水,催吐。就医。
第五部分 消防措施
危险特性:遇明火、高热可燃。其粉体与空气可形成爆炸性混合物, 当达到一定浓度时, 遇火星会发生爆炸。受高热分解放出有毒的气体。
有害燃烧产物:一氧化碳、氮氧化物、氧化硫。
灭火方法:用雾状水、泡沫、干粉、二氧化碳、砂土灭火。
灭火注意事项及措施:消防人员须佩戴防毒面具、穿全身消防服,在上风向灭火。尽可能将容器从火场移至空旷处。喷水保持火场容器冷却,直至灭火结束。
第六部分 泄漏应急处理
应急行动:隔离泄漏污染区,限制出入。消除所有点火源。建议应急处理人员戴防尘口罩,穿一般作业工作服。尽可能切断泄漏源。用塑料布覆盖泄漏物,减少飞散。勿使水进入包装容器内。用洁净的铲子收集泄漏物,置于干净、干燥、盖子较松的容器中,将容器移离泄漏区。
第七部分 操作处置与储存
操作注意事项:密闭操作,局部排风。防止粉尘释放到车间空气中。操作人员必须经过专门培训,严格遵守操作规程。建议操作人员佩戴自吸过滤式防尘口罩,戴化学安全防护眼镜,穿防毒物渗透工作服,戴橡胶手套。远离火种、热源,工作场所严禁吸烟。使用防爆型的通风系统和设备。避免产生粉尘。避免与氧化剂接触。配备相应品种和数量的消防器材及泄漏应急处理设备。倒空的容器可能残留有害物。
储存注意事项:储存于阴凉、通风的库房。远离火种、热源。防止阳光直射。包装密封。应与氧化剂分开存放,切忌混储。配备相应品种和数量的消防器材。储区应备有合适的材料收容泄漏物。
第八部分 接触控制/个体防护
接触限值:
MAC(mg/m3): 未制定标准 PC-TWA(mg/m3): 未制定标准
PC-STEL(mg/m3): 未制定标准 TLV-C(mg/m3): 未制定标准
TLV-TWA(mg/m3): TLV-STEL(mg/m3): 
监测方法:无资料。
工程控制:密闭操作,局部排风。
呼吸系统防护:空气中粉尘浓度超标时,必须佩戴过滤式防尘呼吸器。紧急事态抢救或撤离时,应该佩戴空气呼吸器。
眼睛防护:戴化学安全防护眼镜。
身体防护:穿防毒物渗透工作服。
手 防 护:戴橡胶手套。
其他防护:工作场所禁止吸烟、进食和饮水,饭前要洗手。工作完毕,淋浴更衣。保持良好的卫生习惯。
第九部分 理化特性
外观与性状:蓝黑色结晶粉末。
pH值: 无意义 熔点(℃): 168(分解)
沸点(℃): 无资料 相对密度(水=1): 无资料
相对蒸气密度(空气=1): 无资料 临界压力(MPa): 无资料
辛醇/水分配系数: 无资料 闪点(℃): 无意义
引燃温度(℃): 无资料 爆炸下限[%(V/V)]: 无资料
爆炸上限[%(V/V)]: 无资料
溶解性:不溶于水,微溶于醇,易溶于氯仿、四氯化碳。
主要用途:双硫腙用于检验Cu、Ag、Pb、Hg等,也用作络合指示剂。
第十部分 稳定性和反应性
稳定性:稳定
禁配物:强氧化剂。
避免接触的条件:光照。
聚合危害:不聚合
分解产物:氮氧化物、氧化硫。
第十一部分 毒理学资料
急性毒性:
LD50:
小鼠静脉LD50(mg/kg): 56 小鼠腹膜腔LD50(mg/kg): 200
LDL0: LD:>500mg/kg 大鼠经口
LC50:
刺激性:
第十二部分  生态学资料
生态毒性:
生物降解性:
非生物降解性:
其他有害作用:该物质对环境有危害,应特别注意对水体的污染。
第十三部分 废弃处置
废弃物性质:危险废物
废弃处置方法:建议用焚烧法处置。在能利用的地方重复使用容器或在规定场所掩埋。
废弃注意事项:处置前应参阅国家和地方有关法规。
第十四部分 运输信息
危险货物编号:无资料
UN编号:无资料
包装类别:无资料
包装标志:
包装方法:无资料。
运输注意事项:起运时包装要完整,装载应稳妥。运输过程中要确保容器不泄漏、不倒塌、不坠落、不损坏。严禁与氧化剂、食用化学品、等混装混运。运输途中应防曝晒、雨淋,防高温。运输时运输车辆应配备相应品种和数量的消防器材及泄漏应急处理设备。装运本品的车辆排气管须有阻火装置。中途停留时应远离火种、热源。车辆运输完毕应进行彻底清扫。公路运输时要按规定路线行驶。
第十五部分 法规信息
法规信息:下列法律法规和标准,对化学品的安全使用、储存、运输、装卸、分类和标志等方面均作了相应的规定:
  中华人民共和国安全生产法(2002年6月29日第九界全国人大常委会第二十八次会议通过);
  中华人民共和国职业病防治法(2001年10月27日第九界全国人大常委会第二十四次会议通过);
  中华人民共和国环境保护法(1989年12月26日第七届全国人大常委会第十一次会议通过)。
第十六部分 其他信息
填表时间:  2020年9月13日
填表部门:      研发部
数据审核单位:
修改说明:       暂无

用户评论(共0条评论)

  • 暂时还没有任何用户评论
总计 0 个记录,共 1 页。 第一页 上一页 下一页 最末页
用户名: 匿名用户
E-mail:
评价等级:
评论内容:
验证码: captcha
配送方式
货物签收
化工运输方式
售后服务
退换货原则
销售条款
购物指南
注册新会员
订购方式
购买需知
支付方式
关于我们
先河原料科技
品牌文化
经营资质
营业执照
浏览器扫→九料APP下单
禁毒宣传广告 倡议书 法律法规 美、墨、欧盟管制易制毒化学品品种
×