先河原料科技-999化工商城欢迎您 化学试剂销售咨询:0598-7509639,或加QQ339904316 微信咨询:w999gou | 请登录  |  免费注册
当前位置: 首页 > 精细化工 > 合成试剂 > 无水哌嗪
无水哌嗪

无水哌嗪

  • 本商品正在进行 [优惠活动] 迎五一 劳动优惠活动 {特惠}15%
  • 商品货号:C4H10N2 二乙烯二胺CAS号110-85-0
    商品库存: 2996 kg
  • 商品品牌:国药试剂
    商品重量:100克
  • 上架时间:2017-11-13
    商品点击数:84726
    累计销量:401
    危险性类别: 危险化学品
  • 市场价格:¥93.6元
    本店售价:¥72元
  • 商品总价:
  • 购买数量:
    购买此商品可使用:0 积分
  • 此商品为免运费商品,计算配送金额时将不计入配送费用
  • 产品规格:



商品描述:

商品属性

哌嗪

中文名称:哌嗪,无水;

英文名称:Piperazine

别名:盐酸心康宁杂质G;盐酸曲美他嗪杂质G;对二氮己环;二乙烯二胺;

化学式:C4H10N2

哌嗪化学式结构图

分子量:86.14

CAS编号:110-85-0


质检信息    

质检项目   指标值

灼烧残渣,%≤0.1

水分,%   ≤1.0

含量,%    ≥99.0

熔    点        109.6 

沸    点        148.5 

水溶性           溶 

密    度         1.1 

外    观       无色结晶 

闪    点       107(O.C)


化学特性

哌嗪无色透明针状或叶状结晶。易吸湿。强碱性。易溶于水,溶于乙醇,几乎不溶于乙醚。10%水溶液的pH为10.8~11.8。熔点44℃。沸点125~130℃。闪点87℃。易燃。半数致死量(小鼠,腹腔)300mg/kg。有腐蚀性。


哌嗪哌嗪


哌嗪msds安全技术说明书

 

哌嗪msds.DOC

化学品安全技术说明书

第一部分 化学品及企业标识

化学品中文名:哌嗪;对二氮己环

化学品英文名:piperazine;diethylenediamine

企业名称:西陇化工股份有限公司

生产企业地址:广东省汕头市潮汕路西陇中街1-3号

邮 编: 515064 传 真: 0754-82481768

企业应急电话:

电子邮件地址:339904316@qq.com

网站地址:https://www.999gou.cn/

第二部分 成分/组成信息

√ 纯品            混合物

有害物成分 浓度 CAS No.

哌嗪 110-85-0

第三部分 危险性概述

危险性类别:第8.2类 碱性腐蚀品

侵入途径:吸入、食入、经皮吸收

健康危害:大量接触本品,吸入或经皮吸收,能引起虚弱、视力模糊、共济失调、震颤、癫痫样抽搐。此外,本品能引起高铁血红蛋白血症,影响血液携氧能力,出现头痛、头晕、恶心、紫绀。眼接触引起严重刺激和灼伤。对皮肤有刺激性,可致灼伤。

慢性影响:哌嗪本品粉尘或液体,对皮肤和肺有致敏性,引起皮肤刺痒、皮疹和哮喘。

环境危害:对环境有害。

燃爆危险:可燃,其粉体与空气混合,能形成爆炸性混合物。

第四部分 急救措施

皮肤接触:立即脱去污染的衣着,用大量流动清水冲洗20~30分钟。如有不适感,就医。

眼睛接触:立即提起眼睑,用大量流动清水或生理盐水彻底冲洗10~15分钟。如有不适感,就医。

吸  入:迅速脱离现场至空气新鲜处。保持呼吸道通畅。如呼吸困难,给输氧。呼吸、心跳停止,立即进行心肺复苏术。就医。

食  入:用水漱口,给饮牛奶或蛋清。就医。

第五部分 消防措施

危险特性:遇明火、高热可燃。燃烧分解时, 放出有毒的氮氧化物气体。受热分解放出有毒气体。具有腐蚀性。

有害燃烧产物:一氧化碳、氮氧化物。

灭火方法:用雾状水、泡沫、干粉、二氧化碳、砂土灭火。

灭火注意事项及措施:消防人员必须佩戴空气呼吸器、穿全身防火防毒服,在上风向灭火。尽可能将容器从火场移至空旷处。喷水保持火场容器冷却,直至灭火结束。

第六部分 泄漏应急处理

应急行动:隔离泄漏污染区,限制出入。消除所有点火源。建议应急处理人员穿防酸碱服。穿防酸碱服。穿上适当的防护服前严禁接触破裂的容器和泄漏物。尽可能切断泄漏源。用塑料布覆盖泄漏物,减少飞散。勿使水进入包装容器内。用洁净的铲子收集泄漏物,置于干净、干燥、盖子较松的容器中,将容器移离泄漏区。

第七部分 操作处置与储存

操作注意事项:密闭操作,局部排风。操作人员必须经过专门培训,严格遵守操作规程。建议操作人员佩戴自吸过滤式防尘口罩,戴化学安全防护眼镜,穿橡胶耐酸碱服,戴橡胶耐酸碱手套。远离火种、热源,工作场所严禁吸烟。使用防爆型的通风系统和设备。避免产生粉尘。避免与氧化剂、酸类接触。搬运时要轻装轻卸,防止包装及容器损坏。配备相应品种和数量的消防器材及泄漏应急处理设备。倒空的容器可能残留有害物。

储存注意事项:储存于阴凉、干燥、通风良好的库房。远离火种、热源。保持容器密封。应与氧化剂、酸类等分开存放,切忌混储。配备相应品种和数量的消防器材。储区应备有合适的材料收容泄漏物。

第八部分 接触控制/个体防护

接触限值:

MAC(mg/m3): 未制定标准 PC-TWA(mg/m3): 未制定标准

PC-STEL(mg/m3): 未制定标准 TLV-C(mg/m3): 未制定标准

TLV-TWA(mg/m3): TLV-STEL(mg/m3): 

监测方法:无资料。

工程控制:密闭操作,局部排风。提供安全淋浴和洗眼设备。

呼吸系统防护:空气中粉尘浓度超标时,必须佩戴过滤式防尘呼吸器。紧急事态抢救或撤离时,应该佩戴空气呼吸器。

眼睛防护:戴化学安全防护眼镜。

身体防护:穿橡胶耐酸碱服。

手 防 护:戴橡胶耐酸碱手套。

其他防护:工作完毕,淋浴更衣。注意个人清洁卫生。

第九部分 理化特性

外观与性状:无色结晶,具有氨的气味,有强吸湿性。

pH值: 无意义 熔点(℃): 104~107

沸点(℃): 145 相对密度(水=1): 无资料

相对蒸气密度(空气=1): 无资料 饱和蒸气压(kPa): 30.3(111℃)

临界压力(MPa): 无资料 辛醇/水分配系数: 无资料

闪点(℃): 109.4 引燃温度(℃): 无资料

爆炸下限[%(V/V)]: 无资料 爆炸上限[%(V/V)]: 无资料

溶解性:溶于水、甲醇、乙醇,微溶于苯、乙醚。

主要用途:哌嗪用于制造树脂和聚合物及制药。

第十部分 稳定性和反应性

稳定性:稳定

禁配物:强氧化剂、强酸、酰基氯、酸酐。

避免接触的条件:受热、光照、潮湿空气。

聚合危害:不聚合

分解产物:氮氧化物。

第十一部分 毒理学资料

急性毒性:

LD50:

大鼠经口LD50(mg/kg): 1900 小鼠经口LD50(mg/kg): 600

兔经皮LD50(mg/kg): 4000

LC50:

小鼠吸入LC50(mg/m3): 5400mg/m3,2小时

刺激性:

亚急性与慢性毒性:大鼠用含本品10%~30%浓度喂饲,90天可引起肝肾损害,用0.1%浓度喂饲,则无不良影响。高浓度本品严重刺激接触部位。

致敏性:对皮肤、肺脏具致敏性。

第十二部分  生态学资料

生态毒性:

生物降解性:

非生物降解性:

其他有害作用:无资料。

第十三部分 废弃处置

废弃物性质:危险废物

废弃处置方法:建议用焚烧法处置。焚烧炉排出的氮氧化物通过洗涤器除去。

废弃注意事项:处置前应参阅国家和地方有关法规。

第十四部分 运输信息

危险货物编号:82518

UN编号:2579

包装类别:Ⅲ类包装

包装标志:腐蚀品

包装方法:螺纹口玻璃瓶、铁盖压口玻璃瓶、塑料瓶或金属桶(罐)外普通木箱。

运输注意事项:起运时包装要完整,装载应稳妥。运输过程中要确保容器不泄漏、不倒塌、不坠落、不损坏。严禁与氧化剂、酸类、食用化学品、等混装混运。运输途中应防曝晒、雨淋,防高温。

第十五部分 法规信息

法规信息:下列法律法规和标准,对化学品的安全使用、储存、运输、装卸、分类和标志等方面均作了相应的规定:

  中华人民共和国安全生产法(2002年6月29日第九界全国人大常委会第二十八次会议通过);

  中华人民共和国职业病防治法(2001年10月27日第九界全国人大常委会第二十四次会议通过);

  中华人民共和国环境保护法(1989年12月26日第七届全国人大常委会第十一次会议通过);

  危险化学品安全管理条例(2002年1月9日国务院第52次常务会议通过);

  安全生产许可证条例(2004年1月7日国务院第34次常务会议通过);

  常用危险化学品的分类及标志(GB 13690-92);

  危险化学品名录。

第十六部分 其他信息

填表时间:  2022年7月27日

填表部门:      研发部

数据审核单位:

修改说明:       暂无



产品用途

1.哌嗪分析中检定锑、铋、金、钼、锡、钨和钒。从铁和铝中分离锰。

2.哌嗪用作医药中间体,主要用于生产驱肠虫药磷酸哌嗪、枸橼酸哌嗪,以及氟奋乃静、强痛定、利福平。六水哌嗪溶于乙醇,加入冰醋酸搅拌冷却即析出乙酸哌嗪,被用于合成激素类药物氢化泼尼松磷酸钠。六水哌嗪与乙酐反应制得驱虫药哌硝噻唑的中间体乙酰哌嗪.


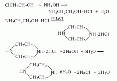
生产方法 

由氯乙醇经氨化、环合成哌嗪盐酸盐,再用氢氧化钠中和制得六水哌嗪,其反应式如下:

化学反应

产品信息
[重量] 500g
[颜色] 白色
危险性类别
[危险性类别] 危险化学品

商品标签

相关商品

购买过此商品的人还购买过

相同颜色的商品

购买记录(近期成交数量1)

用户名购买数量购买时间订单状态
匿名用户12026-02-20 17:14:16成交
总计 1 个记录,共 1 页。 第一页 上一页 下一页 最末页

用户评论(共1条评论)

  • 施小小****施小小 ( 2022-09-05 12:45:29 )

    体验了,化学试剂都是正品,这家店我喜欢,下次还会来,五星好评

总计 1 个记录,共 1 页。 第一页 上一页 下一页 最末页
用户名: 匿名用户
E-mail:
评价等级:
评论内容:
验证码: captcha
配送方式
货物签收
化工运输方式
售后服务
退换货原则
销售条款
购物指南
注册新会员
订购方式
购买需知
支付方式
关于我们
先河原料科技
品牌文化
经营资质
营业执照
微信扫一扫→在线咨询
禁毒宣传广告 倡议书 法律法规 美、墨、欧盟管制易制毒化学品品种
×